七、一元函数积分学的几何应用
(一)平面图形的面积
1. 直角坐标系中的平面图形的面积
(1)设 \(f(x),g(x)\) 在 \([a,b]\) 连续,则由曲线 \(y = f(x),y = g(x)\) 及直线 \(x = a,x = b(a < b)\) 所围成的区域 \(D\) 的面积为 \(S = \int_{a}^{b}|f(x) - g(x)|\mathrm{d}x\),其中曲线 \(y = f(x),y = g(x)(x\in [a,b])\) 可以有有限个交点(见图3.2)。
特别地,若 \(f(x)\geqslant g(x)\)(\(\forall x\in [a,b]\),如图3.3),则 \(S = \int_{a}^{b}[f(x) - g(x)]\mathrm{d}x\)。
若 \(f(x)\geqslant 0,g(x) = 0\)(如图3.4),则 \(S = \int_{a}^{b}f(x)\mathrm{d}x\)。
【注】当 \(f(x)\geq g(x)(x\in [a,b])\) 时公式也可从二重积分的计算公式得到(如图3.3):
\[S = \iint_{D} \mathrm{d}x\mathrm{d}y = \int_{a}^{b} \mathrm{d}x \int_{g(x)}^{f(x)} \mathrm{d}y = \int_{a}^{b} [f(x) - g(x)] \mathrm{d}x.\]
图3.2

图3.3

图3.4
(2)设 \(\varphi(y),\psi(y)\) 在 \([\alpha,\beta]\) 连续,则由曲线 \(x = \varphi(y),x = \psi(y)\) 及直线 \(y = \alpha,y = \beta(\alpha < \beta)\) 所围的区域 \(D\) 的面积为
\[S = \int_{\alpha}^{\beta} |\varphi(y) - \psi(y)| dy,\]其中,曲线 \(x = \varphi(y)\) 与 \(x = \psi(y)\) 在区间 \([\alpha,\beta]\) 上可以有有限个交点(如图3.5)。
【注】当 \(\varphi(y)\geqslant \psi(y)(y\in [\alpha,\beta])\) 时公式也可由二重积分的计算公式得到
\[S = \iint_{D} dxdy = \int_{\alpha}^{\beta} dy \int_{\psi(y)}^{\varphi(y)} dx = \int_{\alpha}^{\beta} [\varphi(y) - \psi(y)] dy.\]
图3.5
2. 极坐标系中的平面图形的面积
(1)设 \(r_1(\theta), r_2(\theta)\) 在 \([\alpha, \beta]\) 连续,\(r_1(\theta) \leqslant r_2(\theta) (\forall \theta \in [\alpha, \beta])\),则在极坐标系中由曲线 \(r = r_1(\theta), r = r_2(\theta)\) 及射线 \(\theta = \alpha, \theta = \beta (\alpha < \beta)\) 所围成的区域 \(D\) 的面积(如图3.6)为
\[S = \frac{1}{2} \int_{\alpha}^{\beta} \left[ r_{2}^{2}(\theta) - r_{1}^{2}(\theta) \right] d\theta .\]特别地,当 \(r_2(\theta) = r(\theta),r_1(\theta) = 0\) 时(如图3.7),有 \(S = \frac{1}{2}\int_{\alpha}^{\beta}r^{2}(\theta)\mathrm{d}\theta\)。
【注】以上公式可由二重积分的极坐标变换得
\[S = \iint_{D} dxdy = \iint_{D} r drd\theta = \int_{\alpha}^{\beta} d\theta \int_{r_{1}(\theta)}^{r_{2}(\theta)} r dr = \frac{1}{2} \int_{\alpha}^{\beta} \left[ r_{2}^{2}(\theta) - r_{1}^{2}(\theta) \right] d\theta .\](2)设 \(\theta_{1}(r), \theta_{2}(r)\) 在 \([a, b]\) 连续,\(\theta_{1}(r) \leqslant \theta_{2}(r) (\forall r \in [a, b])\),如图3.8,则在极坐标系中由曲线 \(\theta = \theta_{1}(r), \theta = \theta_{2}(r)\) 及圆弧 \(r = a, r = b (a < b)\) 所围成的区域 \(D\) 的面积为
\[S = \int_{a}^{b} r [\theta_{2}(r) - \theta_{1}(r)] dr.\]
图3.6

图3.7

图3.8
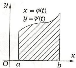
3. 边界曲线方程由参数方程给出的平面图形的面积
(1)当曲边梯形的曲边 \(y = f(x)(f(x)\geqslant 0,x\in [a,b])\) 由参数方程 \(\left\{ \begin{array}{l}x = \varphi(t),\\ y = \psi(t) \end{array} \right.\) 给出时,若 \(x = \varphi(t)\) 适合:\(\varphi(\alpha) = a\),\(\varphi(\beta) = b,\varphi(t)\) 在 \([\alpha,\beta]\)(或 \([\beta,\alpha]\))上有连续导数且 \(\varphi^{\prime}(t)\) 不变号,\(\psi(t)\geqslant 0\) 连续,则曲边梯形的面积为(如图3.9)
\[S = \int_{a}^{b} y dx = \int_{\alpha}^{\beta} \psi(t) \varphi^{\prime}(t) dt.\](2)设有界闭区域 \(D\) 由分段光滑曲线 \(L\) 围成,则 \(D\) 的面积为
\[S = \frac{1}{2} \int_{L} - y dx + x dy,\]其中,\(L\) 对 \(D\) 来说取正向。
【注】该公式可由格林公式得到:
\[\iint_{D} \left(\frac{\partial Q}{\partial x} - \frac{\partial P}{\partial y} \right) \mathrm{d}x\mathrm{d}y = \oint_{L} P\mathrm{d}x + Q\mathrm{d}y \text{中}, \text{取} P = - y, Q = x \text{即可}.\]
图3.9
(二)平面曲线的弧微分与弧长
-
设平面曲线弧 \(\widehat{AB}\) 由直角坐标方程 \(y = f(x)\)(\(a \leq x \leq b\))给出,则弧微分为 \(\mathrm{ds} = \sqrt{1 + f'^2(x)} \, \mathrm{d}x\),弧长为 \(s = \int_{a}^{b} \sqrt{1 + f'^2(x)} \, \mathrm{d}x\),其中 \(f(x)\) 在 \([a, b]\) 有连续的导数。
-
设平面曲线弧AB由参数方程 \(x = x(t), y = y(t) (\alpha \leqslant t \leqslant \beta)\) 给出,则弧微分为
弧长为 \(s = \int_{\alpha}^{\beta}\sqrt{x'^2(t) + y'^2(t)}\mathrm{d}t\),其中 \(x(t),y(t)\) 在 \([\alpha,\beta]\) 有连续的导数,\(x^{\prime 2}(t) + y^{\prime 2}(t)\neq 0\)。
- 设平面曲线弧AB由极坐标方程 \(r = r(\theta)\)(\(\alpha \leqslant \theta \leqslant \beta\))给出,也就知道了它的参数方程 \(x = r(\theta)\cos\theta, y = r(\theta)\sin\theta\)(\(\alpha \leqslant \theta \leqslant \beta\)),则弧微分为 \(\mathrm{ds} = \sqrt{r^2(\theta) + r'^2(\theta)}\mathrm{d}\theta\),弧长为 \(s = \int_{\alpha}^{\beta}\sqrt{r^2(\theta) + r'^2(\theta)}\mathrm{d}\theta\),其中 \(r = r(\theta)\) 在 \([\alpha, \beta]\) 有连续的导数。
【例3.25】求下列平面曲线的弧长:
(I)曲线 \(9y^{2} = x(x - 3)^{2}\)(\(y \geqslant 0\))位于 \(x = 0\) 到 \(x = 3\) 之间的一段;
(Ⅱ)曲线 \(\left(\frac{x}{a}\right)^{\frac{1}{2}} + \left(\frac{y}{b}\right)^{\frac{1}{2}} = 1 (a > 0, b > 0, a \neq b)\)。
【解】(I)先求 \(y^\prime\) 与 \(\sqrt{1 + y^{\prime 2}}\):将 \(9y^{2} = x(x - 3)^{2}\) 两边对 \(x\) 求导得 \(6yy' = (x - 3)(x - 1)\),即 \(y^\prime = \frac{1}{6y} (x - 3)(x - 1),\quad \sqrt{1 + y^{\prime 2}} = \frac{1 + x}{2\sqrt{x}}\)。因此该段曲线的弧长为
\[s = \int_{0}^{3} \sqrt{1 + y^{\prime 2}} dx = \int_{0}^{3} \frac{1 + x}{2 \sqrt{x}} dx = \frac{1}{2} \int_{0}^{3} \left(\sqrt{x} + \frac{1}{\sqrt{x}}\right) dx = \left. \frac{1}{2} \left(\frac{2}{3} x^{\frac{3}{2}} + 2 x^{\frac{1}{2}}\right) \right|_{0}^{3} = 2 \sqrt{3}.\](Ⅱ)先写出曲线的参数方程 \(\left\{ \begin{array}{l}x = a\cos^3 t,\\ y = b\sin^3 t, \end{array} \right.\) \(t\in [0,2\pi]\),再求
\[\sqrt{x^{\prime 2} + y^{\prime 2}} = 3 |\sin t \cos t| \sqrt{a^{2} \cos^{2} t + b^{2} \sin^{2} t}.\]于是代公式并由对称性得,该曲线的弧长为
\[\begin{aligned} s &= 4 \int_{0}^{\frac{\pi}{2}} \sqrt{x^{\prime 2}(t) + y^{\prime 2}(t)} dt = 4 \int_{0}^{\frac{\pi}{2}} 3 \sin t \cos t \sqrt{a^{2} \cos^{2} t + b^{2} \sin^{2} t} dt \\ &= 6 \int_{0}^{\frac{\pi}{2}} \sqrt{a^{2} + (b^{2} - a^{2}) \sin^{2} t} d(\sin^{2} t) = \left. \frac{4}{b^{2} - a^{2}} \left[ a^{2} + (b^{2} - a^{2}) \sin^{2} t \right]^{\frac{3}{2}} \right|_{0}^{\frac{\pi}{2}} \\ &= \frac{4}{b^{2} - a^{2}} \left(b^{3} - a^{3}\right). \end{aligned}\](三)平面曲线的曲率
1. 平面曲线的曲率、曲率圆与曲率半径的概念
设 \(C\) 是光滑曲线(每一点处都有切线且随切点的移动而连续转动)\(y = f(x)\)。选定一端点作为度量弧 \(s\) 的基点。曲线上每一点 \(M\) 就对应有弧长为 \(s\),点 \(M\) 处切线的倾角(如图3.10(a)或3.10(b))为 \(\alpha = \alpha(s)\),称
\[K = \left| \frac{\mathrm{d}\alpha}{\mathrm{d}s} \right|\]为平面曲线 \(C\) 在点 \(M\) 的曲率,\(\rho = \frac{1}{K}\) 为 \(C\) 在点 \(M\) 的曲率半径。在点 \(M\) 处的曲线 \(C\) 的法线上,在凹的一侧取一点 \(D\),使 \(|DM| = \rho = \frac{1}{K}\),以 \(D\) 为圆心,\(\rho\) 为半径作圆(图3.10(a)或图3.10(b)),这个圆叫作曲线 \(C\) 在点 \(M\) 处的曲率圆,圆心 \(D\) 叫作曲线 \(C\) 在点 \(M\) 的曲率中心。

图3.10(a)

图3.10(b)
由此可知,曲线 \(C\) 在点 \(M\) 处与其曲率圆有相同的切线和曲率,且在点 \(M\) 邻近处有相同的凹凸性(参见本章题型训练四,题10)。
【注】对于凸函数,它的凹的一侧即切线的下方一侧(图3.10(a));对于凹函数,它的凹的一侧即切线的上方一侧(图3.10(b))。
2. 曲率的计算公式
(1)设曲线 \(C\) 的参数方程为 \(x = x(t)\),\(y = y(t)\)(\(t\in [\alpha,\beta]\)),则
\[K = \left| \frac{\mathrm{d}\alpha}{\mathrm{d}s} \right| = \frac{|x^{\prime}(t) y^{\prime \prime}(t) - x^{\prime \prime}(t) y^{\prime}(t)|}{[x^{\prime 2}(t) + y^{\prime 2}(t)]^{3 / 2}},\]其中 \(x(t), y(t)\) 在 \([\alpha, \beta]\) 有二阶导数。
(2)设曲线 \(C\) 的直角坐标方程为 \(y = y(x),y(x)\) 二阶可导,则 \(K = \left|\frac{\mathrm{d}\alpha}{\mathrm{d}s}\right| = \frac{|y^{\prime\prime}|}{(1 + y^{\prime 2})^{3 / 2}}\)。
【例3.26】求曲线:\(x = t - \ln (1 + t^2),y = \arctan t\) 在 \(t = 2\) 处的曲率及曲率半径。
利用由参数方程确定的函数的求导法则,得
\[\frac{\mathrm{d}y}{\mathrm{d}x} = \frac{y_{t}^{\prime}}{x_{t}^{\prime}} = \frac{1}{(t - 1)^{2}},\] \[\frac{\mathrm{d}^{2}y}{\mathrm{d}x^{2}} = \left[ \frac{1}{(t - 1)^{2}} \right]^{\prime} \cdot \frac{\mathrm{d}t}{\mathrm{d}x} = \frac{- 2}{(t - 1)^{3}} \cdot \frac{1}{x_{t}^{\prime}} = - \frac{2 (1 + t^{2})}{(t - 1)^{5}},\]于是所求曲率为 \(K = \frac{|y''|}{(1 + y'^2)^{3/2}}\Bigg|_{t=2} = \frac{5}{\sqrt{2}}\)。曲率半径 \(\rho = \frac{\sqrt{2}}{5}\)。
评注:本题也可先求出 \(x^{\prime}(t), x^{\prime \prime}(t), y^{\prime}(t), y^{\prime \prime}(t)\),然后直接套公式 \(K = \frac{|x'y'' - x''y'|}{(x'^2 + y'^2)^{3/2}}\),这样也能得出结果,但计算量较大。所以要学会”具体问题具体分析”,根据不同的题目选择合适的公式。
(四)空间图形的体积
1. 平行截面面积为已知的立体的体积
设空间某立体由一曲面和垂直于 \(z\) 轴的二平面 \(z = \alpha, z = \beta\) 围成 \((\alpha < \beta)\),如果过 \(z\) 轴上任一点 \(z(\alpha \leqslant z \leqslant \beta)\) 且垂直于 \(z\) 轴的平面截立体所得的截面面积 \(S(z)\) 是已知的连续函数,则该立体的体积(见图3.11)为
\[V = \int_{\alpha}^{\beta} S(z) dz.\]【注】该立体是空间 \(Oxyz\) 中的一个有界闭区域记为 $\
练习题
例题1
题目内容
求由曲线 \(y = x^2\) 与 \(y = \sqrt{x}\) 所围成的平面图形的面积。
题目解答
首先,求两曲线的交点:
在区间 \([0, 1]\) 上,\(\sqrt{x} \geq x^2\),因此面积为:
\[S = \int_{0}^{1} (\sqrt{x} - x^2) \, dx = \left[ \frac{2}{3}x^{3/2} - \frac{1}{3}x^3 \right]_{0}^{1} = \frac{2}{3} - \frac{1}{3} = \frac{1}{3}.\]例题2
题目内容
求曲线 \(y = \ln x\) 从 \(x = 1\) 到 \(x = e\) 的弧长。
题目解答
弧长公式为 \(s = \int_{a}^{b} \sqrt{1 + (y')^2} \, dx\)。
计算导数:\(y' = \frac{1}{x}\),则
令 \(x = \tan t\),则 \(dx = \sec^2 t \, dt\),当 \(x = 1\) 时 \(t = \frac{\pi}{4}\),当 \(x = e\) 时 \(t = \arctan e\)。
积分变为:
利用恒等式 \(\csc t \sec t = \frac{1}{\sin t \cos t} = 2 \csc 2t\),得
\[s = 2 \int_{\pi/4}^{\arctan e} \csc 2t \, dt = \left[ -\ln |\csc 2t + \cot 2t| \right]_{\pi/4}^{\arctan e}.\]代入上下限计算即可(具体数值略)。
例题3
题目内容
求曲线 \(y = x^3\) 在点 \((1, 1)\) 处的曲率及曲率半径。
题目解答
曲率公式为 \(K = \frac{|y''|}{(1 + y'^2)^{3/2}}\)。
计算导数:\(y' = 3x^2\), \(y'' = 6x\)。
在点 \((1, 1)\) 处,\(y' = 3\), \(y'' = 6\),故
曲率半径为 \(\rho = \frac{1}{K} = \frac{5\sqrt{10}}{3}\).
例题4
题目内容
求由曲线 \(y = \sin x\) (\(0 \leq x \leq \pi\)) 绕 \(x\)-轴旋转一周所成旋转体的体积。
题目解答
旋转体体积公式为 \(V = \pi \int_{a}^{b} [f(x)]^2 \, dx\)。
例题5
题目内容
求曲线 \(y = \sqrt{x}\) (\(1 \leq x \leq 4\)) 绕 \(x\)-轴旋转一周所成旋转曲面的侧面积。
题目解答
旋转曲面侧面积公式为 \(S = 2\pi \int_{a}^{b} y \sqrt{1 + (y')^2} \, dx\)。
计算导数:\(y' = \frac{1}{2\sqrt{x}}\),则
令 \(u = x + \frac{1}{4}\),则 \(du = dx\),积分限变为 \(\frac{5}{4}\) 到 \(\frac{17}{4}\)。
\[S = 2\pi \int_{5/4}^{17/4} u^{1/2} \, du = 2\pi \cdot \frac{2}{3} \left[ u^{3/2} \right]_{5/4}^{17/4} = \frac{4\pi}{3} \left( \left( \frac{17}{4} \right)^{3/2} - \left( \frac{5}{4} \right)^{3/2} \right).\]化简得 \(S = \frac{\pi}{6} (17\sqrt{17} - 5\sqrt{5})\).
例题6
题目内容
求由极坐标方程 \(r = 2(1 + \cos \theta)\) 所围图形的面积。
题目解答
极坐标下面积公式为 \(S = \frac{1}{2} \int_{\alpha}^{\beta} r^2 \, d\theta\)。
由于图形对称,取 \(\theta \in [0, 2\pi]\):
利用 \(\cos^2 \theta = \frac{1 + \cos 2\theta}{2}\),得
\[S = 2 \int_{0}^{2\pi} \left( \frac{3}{2} + 2\cos \theta + \frac{1}{2} \cos 2\theta \right) d\theta = 2 \left[ \frac{3}{2} \theta + 2\sin \theta + \frac{1}{4} \sin 2\theta \right]_{0}^{2\pi} = 2 \cdot 3\pi = 6\pi.\]